
(21)

(1)
(2)
(3)
(4)
(5)
(6)
测点数
标出20个点,绘制
与
计算关系图。将主体断面的实测
与
绘在上图内进行比较。
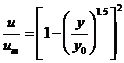
(11-1)
(11-2)
(11-3)
(11-4)
为由单位换算引出的系数,n为微压计常数因子。

和无量纲坐标y/ y0;绘制无量纲流速分布图,见图11-4并和半经验公式(11-1)进行比较。
|
序号 № |
测针读数 (cm) |
Y (cm) |
微压计斜管读数 ι(mn酒精柱) |
u (m/s) |
u/um | y/y0 |
| 断面1 n=0 y 0=13mm | ||||||
| 1 | 13.06 | 1.3 | 112 | 32.447 | ||
| 2 | 13.56 | 0.8 | 112 | 32.447 | ||
| 3 | 13.96 | 0.4 | 112 | 32.447 | ||
| 4 | (中心点)14.36 | 0 | 112 | 32.447 | ||
| 5 | 14.76 | -0.4 | 112 | 32.447 | ||
| 6 | 15.16 | -0.8 | 112 | 32.447 | ||
| 7 | 15.66 | -1.3 | 112 | 32.447 | ||



微压计n=0.6| x(mm) | t(mm) | x/ R0 | um/u0 | x(mm) | t(mm) | x/ R0 | um/u0 |
| 0 | 112 | 0 | 1.0 | 230 | 74 | 15.333 | 0.813 |
| 20 | 112 | 1.333 | 1.0 | 250 | 65 | 16.667 | 0.762 |
| 40 | 112 | 2.667 | 1.0 | 270 | 57.5 | 18.000 | 0.717 |
| 60 | 112 | 4.000 | 1.0 | 290 | 52 | 19.333 | 0.081 |
| 80 | 112 | 5.333 | 1.0 | 310 | 46 | 20.667 | 0.641 |
| 100 | 112 | 6.667 | 1.0 | 330 | 44 | 22.000 | 0.627 |
| 102 | 112 | 6.80 | 1.0 | 350 | 38 | 23.333 | 0.582 |
| 110 | 110.5 | 7.333 | 0.993 | 370 | 35 | 24.667 | 0.559 |
| 130 | 109 | 8.667 | 0.987 | 390 | 31 | 26.000 | 0.526 |
| 150 | 104 | 10.0 | 0.934 | 410 | 28 | 27.333 | 0.500 |
| 170 | 98 | 11.335 | 0.935 | 430 | 25 | 28.667 | 0.472 |
| 190 | 90 | 12.667 | 0.894 | 450 | 23 | 30 | 0.458 |
| 210 | 80 | 14.000 | 0.845 |
| 姓名 同组人 日期 | |||||||||
|
设备编号 微压计编号 喷嘴形式 酒精容重 中心点标心读数 空气温度 大气压强 |
|||||||||
| 断面 | 测点 | 微压计读数1(mm) | 中心点流速Um(m/s) | 中心点流速Um(m/s) | y/ y0 | U/Um | |||
| 编号 |
位置 X |
半宽 y0 |
编号 |
位置 y1 |
|||||
品牌理念
标准流程
有效沟通
专业管理
优秀团队
品质保证
无忧售后
生产基地:上海松江叶榭工业园
业务电话:021-56311657 , 56411696 , 业务传真:021-56411696 公司邮箱:shanghaimaoyu@126.com 教学设备厂 沪公网安备 31010702001294 号 沪ICP备13020377号-1 |