设为首页
|
收藏本站
|
联系我们
网站首页
企业概况
新闻动态
产品介绍
产品导航
行业标准
技术文章
配置方案
技能大赛
成功案例
企业博客
售后服务
联系我们
维修电工实训设备
高级技师电工实训设备
网孔板电工电子实训设备
工业自动化实训设备
PLC可编程实训设备
电机实训设备
高性能电工电子实验设备
工厂电气控制实训设备
单片机实训设备
计算机原理实训设备
电工电子实训设备
立式电工电子实训考核设备
模电数电实训设备
电子实训设备
柜式电工电拖实训设备
数电模电实验箱
光机电一体化实训设备
传感器实训设备
家用电器实训设备
电梯实训设备
光伏发电实训室设备
机械陈列柜
机械创新实训设备
液压传动实训设备
煤矿安全培训技能实训设备
环境工程实训设备
化工工程实训设备
化工原理实训设备
流体力学实训设备
新能源实训设备
过程控制实训设备
钳工实验室设备
工程制图实验室设备
热工实训设备
教学数控车床铣床实训设备
采暖通风实训设备
机床电气实训装置
数控维修实训室设备
透明注塑机模型
楼宇实训设备
汽车底盘实训室设备
物业管理实训室设备
汽车驾驶模拟器
汽车发动机实训设备
汽车发动机拆装台实训设备
汽车空调系统实训设备
汽车全车电器实验台
汽车变速器实训设备
暖通空调实训室设备
汽车解剖模型
制冷制热实训设备
消防实训室设备
汽车示教板
新能源汽车实训设备
新能源汽车电池实训室设备
部队.军校实训设备
船舶工程实训室设备
教学模型
汽车电路接线实训设备
心肺复苏模拟人
风力发电实训设备
新能源汽车电机驱动实训室
汽车电子实验箱
环境实验室实验设备
给排水工程处理实验室设备
工程机械实验设备
工业机器人应用实训室设备
农机工程机械实训设备
主页
>
技术文章
>
不可压缩流体恒定流动总流伯努利方程实验
2025-07-09
不可压缩流体恒定流动总流伯努利方程实验
一、
不可压缩流体恒定
流动
总流伯努利方程实验-
实验目的
1.验证流体恒定总流的能量方程;
2.通过对流体力学诸多水力现象的实验分析研究,进一步掌握有压管流体动力学 的能量转换特性;
3.掌握流速、流量、压强等要素的实验量测技能。
二、实验原理
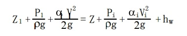
在实验管路中沿管内水流方向取 n 个过水断面。可以列出进口断面(1)至另一断 面(i)的能量方程式(I=2,3……,n)
取α1=α2=……αn=1,选好基准面,从已设置的各断面的测压管中读出 Z+(P/αg) 值,测出通过管路的流量,即可计算出断面平均流速 V 及αV²/2g,从而即可得到各断面 测压管水头和总水头
三、
实验
步骤
1.熟悉实验设备,分清哪些管是静压管,哪些是毕托管测压管,以及两者功能的 区别。
2.供水使水箱充满水,待水箱溢流,检查调节阀关闭后所有全压管水面是否齐平。 如不平则需查明故障原因(例如连通管受阻、漏气或夹气泡等)并加以排除,直至调平。
3.打开调节阀,观察思考
1)测压水头线和总水头线的变化趋势;
2)位置水头,压强水头之间的相互关系;
3)流量增加或减少时测管水头如何变化?
4.调节阀开度,待流量稳定后,测记各测压管液面读数,同时测记实验流量。
四、实验数据及整理
1.记录有关常数
d1=Φ14㎜ d2=Φ30㎜
根据以上公式计算某一工况各测点处的轴心速度和平均流速填入表格,可验证出连 续性方程。对于不可压缩流体稳定的流动,当流量一定时,管径粗的地方流速小,细的地方流速大。
2.观察和计算流体、流径,能量方程实验管对能量损失的情况:在能量方程实 验管上布置四组测压管,每组能测出全压和静压,全开阀门,观察总压沿着水流方向的 下降情况,说明流体的总势能沿着流体的流动方向是减少的,改变给水阀门的开度,同 时计量不同阀门开度下的流量及相应的四组测压管液柱高度,进行记录和计算。
能量方程实验管工况点实验数据记录:
五、分析与思考
1.测压管水头线和总水头线的变化趋势有何不同?为什么?
2.流量增加,测压管水头线有何变化?为什么?
其他
技术文章
链接:
加强中职学生对弱电与强电认识
好氧堆肥实验装置使用说明
传感器实验台温度控制仪表操作说明
太阳能光伏发电综合实训系统使用说明
电动机技术工作原理及运行维护
电机与拖动实验实训报告
光机电一体化实训设备实验室介绍
机械设计实验室
齿轮范成仪使用说明书
家用电器之电子消毒柜实验指导书
臭氧氧化脱色实验说明书
萃取精馏教学实验指导书
二氧化碳PVT关系测定实验指导书
空气绝热指数测定装置实验指导书
填料吸收实验装置使用指导书
超滤、纳滤、反渗透多功能膜分离实验装置说明
孔口管嘴实验仪说明书
热电偶制作校验仪说明书
好氧堆肥实验装置实验说明书
沿程阻力系数测定装置说明书
文丘里除尘器性能实验指导书
制冷压缩机性能测试实训装置指导书
化工传热实验装置使用说明书
数据采集板式静电除尘器指导书
《台虎钳》实测绘图组合训练装置
自由对流横管管外放热系数测试装置使用说明书
流体力学综合实验装置使用说明书
《典型零件》实测绘图训练装置
制冷制热工作原理及实验目的
挖掘机液压模拟训练平台操作说明
中温法向辐射率测量仪实验装置的介绍及使用说明
传感器实验台的特点及维护
热电偶校验仪使用说明
热电阻校验装置使用说明
做燃料电池教具实验要注意什么
电机及电气技术实验的基本要求及安全操作规程
交流及直流电源实验操作说明
传感器实验台温度控制仪表操作说明
冲击水浴除尘器实验装置使用说明
变压器耦合推挽功率放大器实验说明
平面磨床面板器件布局图及电路实训单元故障现象
定时兼报警记录仪的使用方法
浅谈职高《电子线路》教学中学生能力的培养
试析自动化专业实验实训室建设与实践教学体系改革
浅析创新电工电子实训教学模式提高学生自主操作能力
谈《维修电工》工学结合一体化教学
电气自动化技术专业生产性实训模式创新
浅谈电工学实验在中专专业课教学中的作用
化工电气自动化专业实训室建设探讨
浅谈液压系统污染物的防与治
关于《液压与气动技术》课程教学探索
试析“新能源导论与创新实践”教学体会与实践
浅谈电力局办公自动化系统的开发模型
两电极电化学CO传感器的研制
传感器教学中学生创新素质的培养
中职实训基地建设的探索与实践
基于PLC多台空调机组的自动控制设计
浅谈析基于FMS的机电一体化教学培训系统开发
电工电子实验技能正确使用的认识
改善机电一体化传动管控教学改革
浅谈电工电子设备中的各种“地”作用
光机电一体化设备中变频器怎么判断故障
中职学生实验中对二极管电路认识
电工电子实训中常见问题总结
工程机械实训室建设的实习报告
中职学生为什么要学电工电子吗
在电工电子实训中几种二极管的测试技巧
关于中职机电一体化专业技能体系的构建
关于中职机电一体化专业学生技能实训探索
电工电子实验中对输入电阻和输出电阻的认识
中职学生如何上好机电一体化课程
浅谈PLC可编程序控制器在电气设备中作用
中职机电一体化设备组装与调试竞赛规程
浅谈中职机电一体化实习(实训)教学考核规范与标准
浅谈中职教师汽车专业技能标准的差异及对策
浅谈煤矿自动化机电技术探索
浅谈中职汽车一般常见故障的诊断方法
中职对机电一体化计算机基础探索
机电一体化技能竞赛促进教学质量的提高
浅谈中职汽车电气设备构造与维修课程实践教学探索
对机电一体化设备安装中几个要点认识
对新型传感器提升电动机性能并降低功耗作用
讲解光机电一体化具体内容包括
浅谈机电一体化技术专业如何适应应用性本科教育
探索中职学校汽车修理专业如何适实践作业
让高职学生了解热电偶现场使用的注意事项
浅谈教学电梯安装实训教学的分析
浅析电梯电气故障原因及解决措施
探索现代电力电子技术应用状况
高职汽车技术服务与营销专业实践教学改革新探
汽车维修职业教育中故障诊断思维方法的培养
浅谈智能楼宇闭路电视监控系统方案
浅谈PLC可编程实训课教学探索
燃料电池发电教学实验平台
PLC可编程控制技术综合实训装置(西门子1200)
家用电器综合实训室设备
光机电一体化实训设备实验室介绍
电机及电气技术实训装置
基础电工电子实验室设备
定制热管换热器实验台
物联网射频识别综合应用实验箱
初级维修电工实验台
上一篇:
三相异步电动机反接制动控制线路
下一篇:
激励频率对差动变压器特性的影响实验
我们的优势:
品牌理念
标准流程
有效沟通
专业管理
客户视图
优秀团队
品质保证
无忧售后
上海茂育科教设备有限公司,立于上海,心怀天下
生产基地:上海松江叶榭工业园
业务电话:021-56311657 , 56411696 , 业务传真:021-56411696 公司邮箱:shanghaimaoyu@126.com
教学设备厂
沪公网安备 31010702001294 号
沪ICP备13020377号-1